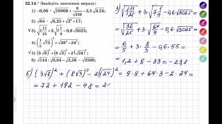
Тотожні перетворення виразів, що містять квадратні корені Частина 1

 

8 клас. Алгебра. Тотожні перетворення виразів, що містять квадратні корені. Виконання вправ №35.2, 35.4, 35.6, 35.8, 35.13 за підручником "Алгебра 8 клас (поглиблене вивчення)" за редакцією А.Г.Мерзляк, В.Б.Полокський, М.С.Якір, Харків "Гімназія", 2021