Искать
Отказ от ответственности
Обратная связь
Войти
Что делать?
В
и
д
е
о
Картинки
Карты и маршруты
Почитать журнал потребителя
Каталог
/
Видео
/
аламшарды ...
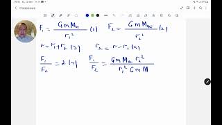
аламшарды тыыздыы неге те, егер оны салмаы экваторында 20% аз крсетеді.Физика.Жексен аай.
Похожие видео
ЫЗЫ ПРЕМИЯ 2024 ТОЛЫ КОНЦЕРТ | ызы Live
Айнадай тегіс А шары vo жылдамдыпен озала отырып, екі шармен сотыысты.Физика.Жексен аай.
Как понять неравенства? Квадратные неравенства. Линейные и сложные неравенства | TutorOnline
Жерді центрінен андай ашытыта арыш кемесіні тартылыс кші екі есе лкен .Физика.Жексен аай.
ГОРДОН: источники в Вашингтоне подтвердили срыв встречи 30 декабря! ПАТРУШЕВ уже ждал за дверью
Миллионер | 5 - серия
Знахарь 1981 4k
Леонид Парфенов, спецгость Редакции — о Вене и вине, империи и импрессионистах, Намедни и вечности
айрат ділгерей & анат лжаппаров | ЖАА КОНЦЕРТ 2025
КРАСИВЫЙ и ГЛУБОКИЙ голос | 3 упражнения | Мгновенный эффект
Виленкин. 6 класс за 100 минут. Математика: теория чисел, дроби, уравнения